Study Guide
Print (will print without answers)
To print with the answers, first select Expand All, then print
Section 4: Sample Multiple-Choice Questions
WEST–E Technology Education (040)
The sample test questions in this study guide are designed to give you an introduction to the nature of the questions included in the Washington Educator Skills Tests—Endorsements (WEST–E). They represent the various types of questions you may expect to see on an actual test in this test field; however, they are not designed to predict your performance on the test as a whole.
Work through the sample questions carefully before referring to the answers. The correct response and test objective being assessed are provided for each question. When you are finished with the sample questions, you may wish to review the test objectives and descriptive statements provided in the test framework for this test field.
In addition to reading and answering the sample questions, you should also utilize the following preparation materials available in this study guide:
- Read Section 2: WEST–E Test-Taking Strategies to understand how test questions are designed to measure specific test objectives and to learn important test-taking strategies for the day of the test.
- Review Section 3: Test Summary and Framework to familiarize yourself with the structure and content of the test. This section contains general testing information as well as the percentage of the total test score derived from each content domain described in the test framework.
Practice Questions
Foundations and Design
Objective 0001: Understand the Career and Technical Education program.
1. According to guidelines from the Washington Office of the Superintendent of Public Instruction (OSPI), a majority of the members of a general advisory committee to a district's Career and Technical Education (CTE) programs should have knowledge of:
- personal characteristics of students enrolled in district CTE programs that may be relevant to their success in CTE-related occupations.
- qualifications of teachers in district CTE programs and their success at providing students with skills necessary to enter CTE-related occupations.
- pedagogical strategies that are most likely to successfully develop student knowledge and skills necessary to enter CTE-related occupations.
- job tasks for CTE-related occupations and the knowledge and skills necessary for successfully entering and remaining in those occupations.
- Enter to expand or collapse answer.Answer expanded
- Correct Response: D.
Objective 0002: Understand the scope and core concepts of technology education.
2. Use the chart below to answer the question that follows.
A Gantt chart covering 16 weeks is presented. Eight tasks are listed in the leftmost column. The bar on the chart for planning runs from week 1 to week 4, inclusive. Design occurs in weeks 5 and 6. Focus group occurs in week 6, week 10, and week 12. Review is in weeks 7 and 8. Revise occurs in week 9. Print occurs in weeks 10 and 11. Package occurs in weeks 12 and 13. And distribute occurs in weeks 14 and 15.
| Task | Week | |||||||||||||||
|---|---|---|---|---|---|---|---|---|---|---|---|---|---|---|---|---|
| 1 | 2 | 3 | 4 | 5 | 6 | 7 | 8 | 9 | 10 | 11 | 12 | 13 | 14 | 15 | 16 | |
| Planning | ||||||||||||||||
| Design | ||||||||||||||||
| Focus Group | ||||||||||||||||
| Review | ||||||||||||||||
| Revise | ||||||||||||||||
| Package | ||||||||||||||||
| Distribute | ||||||||||||||||
According to the Gantt chart above, the second meeting of the Focus Group occurs at the same time as which of the following tasks?
- Design
- Revise
- Package
- Enter to expand or collapse answer.Answer expanded
- Correct Response: C.
3. Which of the following scientific advances was most directly responsible for the development of the silicon chips that form the basis for modern computers?
- the application of principles of physical chemistry to understanding how different types of substances form bonds
- the recognition that magnetism and electricity were interchangeable parts of an electromagnetic spectrum
- the application of principles of quantum physics to understand the behavior of semiconductor materials
- the recognition that voltage and amperage were two different and distinct properties of electrical currents
- Enter to expand or collapse answer.Answer expanded
- Correct Response: C.
Objective 0003: Understand the relationships among technology, society, and the environment, and connections between technology and other fields.
4. A pitot tube is a device used to measure the air speed of an airplane. Air flow over the top of the tube results in lower pressure within the tube. The change in pressure in the tube is proportional to the speed of the air flowing over the tube. The principle of operation of the pitot tube is used in which of the following devices in a small gasoline engine?
- carburetor
- choke
- magneto
- condenser
- Enter to expand or collapse answer.Answer expanded
- Correct Response: A.
5. Which of the following examples most clearly illustrates Newton's Third Law that for every action there is an equal and opposite reaction?
- the use of hydraulics to slow the movement of a car
- the propulsion of a rowboat by the action of the oars
- the use of a block and tackle to lift a truck engine
- the turning of the shaft of an electric motor
- Enter to expand or collapse answer.Answer expanded
- Correct Response: B.
Objective 0004: Understand engineering design and its role in technology.
6. Use the diagram below to answer the question that follows.

Five boxes are arranged horizontally. A right facing arrow runs between each box and the next. The leftmost box includes the text identify the problem. The second box says choose the best solution. The third box says construct a prototype. The fourth box contains the letter X. The last box says redesign the product.
Which of the following steps in the design process is most appropriate to place in the box labeled X?
- Gather information
- Evaluate the solution
- Gather possible solutions
- Brainstorm possible solutions
- Enter to expand or collapse answer.Answer expanded
- Correct Response: B.
7. The most important role of negative feedback to the operation of a technological system is to provide a mechanism for:
- ensuring quality control of the outputs of the system.
- integrating new inputs into the system without disrupting it.
- processing the inputs of the system to produce outputs.
- providing the system with the ability to self-regulate.
- Enter to expand or collapse answer.Answer expanded
- Correct Response: D.
Objective 0005: Understand the role of research and development, experimentation and invention, and troubleshooting in technology.
8. A design team has developed several prototypes for a magnetic system for closing refrigerator and freezer doors. The prototypes differ in the materials used and the strength of the magnets that are embedded. The team tests the prototypes by using a device that opens and closes the doors multiple times. After iterations of 10,000, 25,000 and 50,000 times, the team measures changes in the magnetic attraction between the doors and the frames and wear and tear on the materials. In this experiment, one of the dependent variables is the:
- number of iterations of opening and closing.
- wear and tear on the materials.
- strength of the magnetic attraction at the start.
- materials that are used in the prototypes.
- Enter to expand or collapse answer.Answer expanded
- Correct Response: B.
9. Use the spreadsheet below to answer the question that follows.

A spreadsheet is shown with 4 columns labeled A B C D. Beneath the header row are 8 rows numbered 1 through 8. The last row row 8 contains no inputted values. Rows 1 through 7 contain the following values: The value in cell A 1 is 1 The value in cell B 1 is 3 The value in cell C 1 is 4 The value in cell D 1 is 3 The value in cell A 2 is 5 The value in cell B 2 is 84 The value in cell C 2 is 4 The value in cell D 2 is 6 The value in cell A 3 is 5 The value in cell B 3 is 6 The value in cell C 3 is 7 The value in cell D 3 is 1 The value in cell A 4 is 6 The value in cell B 4 is 3 The value in cell C 4 is 84 The value in cell D 4 is 22 The value in cell A 5 is 25 The value in cell B 5 is 7 The value in cell C 5 is 3 The value in cell D 5 is 35 The value in cell A 6 is 24 The value in cell B 6 is 8 The value in cell C 6 is 4 The value in cell D 6 is 45 The value in cell A 7 is 3 The value in cell B 7 is 9 The value in cell C 7 is 5 The value in cell D 7 is 6
If the formula =SUM(B4:B7) is entered in cell B8 in the spreadsheet above, which of the following values will appear in that cell?
- 12
- 27
- 93
- 120
- Enter to expand or collapse answer.Answer expanded
- Correct Response: B.
Objective 0006: Understand safety.
10. The most frequent cause of accidents and injuries when working with potentially dangerous tools and equipment is:
- human error when using tools or operating equipment due to lack of training, inattention, or improper use.
- third-party error, such as failure to maintain or service equipment or provide sufficient protective gear.
- failure of built-in safety features, such as automatic shutoffs or blade guards, of tools and equipment.
- poor design of tools and equipment that increases hazards and makes it difficult to use them safely.
- Enter to expand or collapse answer.Answer expanded
- Correct Response: A.
Energy and Power Technology
Objective 0007: Understand principles and characteristics of energy and power technology and of energy resources.
11. A transformer has approximately 2.0 times 10 squared input windings and approximately 4.0 times 10 squared output windings. If the input voltage is 120V, what is the output voltage?
- 1,200V
- 240V
- 60V
- 12V
- Enter to expand or collapse answer.Answer expanded
- Correct Response: B.
12. The competitiveness of wind- and solar-generated power against fossil fuel power generation would be most enhanced by:
- siting wind and solar generating plants offshore, especially in deep ocean locations.
- increasing the ability of the electrical grid to handle the transmission of higher voltages.
- raising the efficiency of photovoltaic cells and windmills for generating electricity.
- modifying the electrical grid to increase its flexibility in allocating and delivering power.
- Enter to expand or collapse answer.Answer expanded
- Correct Response: D.
Objective 0008: Understand principles and processes related to electrical energy.
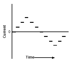
13. Which of the following graphs best represents the voltage of household current?
The four responses show graphs with the vertical axis labeled current. The horizontal axis is labeled time with a right facing arrow. The horizontal axis meets the midpoint of the vertical axis at a point labeled 0.

From left to right, Graph A shows a series of disconnected horizontal dashes. The first dash starts at 0. The next 3 dashes rise above the horizontal axis. The next six dashes then proceed downward to below the horizontal axis. The next dashes then rise toward the horizontal axis.

From left to right, Graph B shows a solid line that starts at 0. The line rises up and then makes a 90 degree turn downward to below the horizontal axis. The line then turns upward at a 90 degree angle to the horizontal axis.

From left to right, Graph C shows a horizontal line above the horizontal axis that runs about halfway across the graph. Where that line ends, a disconnected horizontal line begins below the horizontal axis and runs to the right side of the graph.

From left to right, Graph D shows a solid line that starts at 0. The line rises above the horizontal axis and makes a smooth curving turn downward to below the horizontal axis. The line then curves back upward to the horizontal axis.
- Enter to expand or collapse answer.Answer expanded
- Correct Response: D.
14. Which of the following electronic devices is used to amplify a current?
- transistor
- capacitor
- resistor
- diode
- Enter to expand or collapse answer.Answer expanded
- Correct Response: A.
Objective 0009: Understand components and operating principles of motors, engines, and mechanical systems.
15. Use the diagram below to answer the question that follows.

Two wheels connected by a belt are shown. The larger wheel is labeled input and has a diameter of 36 inches. The smaller wheel is labeled output and has a diameter of 9 inches.
A torque of 25N is applied to the input wheel. What is the resulting torque produced by the output wheel?
- 6.25N
- 12.5N
- 50N
- 100N
- Enter to expand or collapse answer.Answer expanded
- Correct Response: A.
16. The operation of hydraulic systems depends on which of the following features of fluids?
- Fluids expand when heated.
- Fluids are easily deformed.
- Fluids have low compressibility.
- Fluids exhibit surface tension.
- Enter to expand or collapse answer.Answer expanded
- Correct Response: C.
Information and Communication Technology
Objective 0010: Understand principles and characteristics of information and communication technology.
17. The primary function of a computer server is to:
- store, retrieve, and send files and data from one or more computers to other computers on a network.
- encode information that is input into a computer into bits for short-term storage in the computer's memory.
- convert information from analog to digital format and vice versa for transmission as phone messages or email.
- interface with general applications to allow the application to perform a task on a specific computer.
- Enter to expand or collapse answer.Answer expanded
- Correct Response: A.
18. Which of the following statements best describes how RAM storage differs from ROM storage in computers?
- Data is stored in RAM as software files, while ROM uses the computer's hard drive for storage.
- Data that is input into the computer first goes to RAM where it is formatted and recoded and sent to ROM.
- Data stored in RAM cannot be shared with other computers in a network, while data stored in ROM can.
- Data stored in RAM can be retrieved and modified by the user, while data stored in ROM cannot.
- Enter to expand or collapse answer.Answer expanded
- Correct Response: D.
Objective 0011: Understand drafting processes.
19. In drafting, which of the following lines represents a center line?

Nine small slightly spaced solid rectangles arranged horizontally.

A horizontal line broken into segments. The first segment is slightly less than a quarter the length of the full line followed by two short dashes, a longer segment, another two short dashes, followed by another segment equal in length to the first.

A horizontal line broken into 3 segments. Two long segments on either end with a short segment in the middle.

A horizontal line. About one third of the distance from the left the line drops slightly below the horizontal then rises diagonally to slightly above the horizontal before returning to the original horizontal level. The pattern repeats about two thirds of the way along the line.
- Enter to expand or collapse answer.Answer expanded
- Correct Response: C.
20. In an architectural drawing, an elevation represents which of the following views of a building?
- an interior view of the windows, doors, and other features of a wall
- an exterior view of all features on one side, or facade, of the building
- an aerial view of the building showing the structure of the roof(s)
- a view of a vertical cross-section of the interior of the building
- Enter to expand or collapse answer.Answer expanded
- Correct Response: B.
Objective 0012: Understand principles and characteristics of graphic communication.
21. When editing a photographic image, the photo histogram is used to adjust the:
- contrast, by changing the relationship of lighter and darker elements.
- overall color tone, by changing the white balance.
- sharpness, by changing the overall focus.
- color intensity, by changing the vibrancy and saturation.
- Enter to expand or collapse answer.Answer expanded
- Correct Response: A.
Objective 0013: Understand the processes and procedures of electronic communication.
22. In a database query, a filter is most likely to be used to:
- import data.
- link multiple databases.
- limit a search.
- convert the format of data.
- Enter to expand or collapse answer.Answer expanded
- Correct Response: C.
23. The bandwidth of a communications channel describes which of the following parameters of the channel?
- the types of electromagnetic radiation that are used to transmit information through the channel
- the strength of the signals that the channel can produce and the distance over which it can travel
- the clarity of the signals produced by the channel and their susceptibility to distortion and interference
- the number of frequencies that are available in the channel for transmission of information
- Enter to expand or collapse answer.Answer expanded
- Correct Response: D.
Transportation Technology
Objective 0014: Understand principles and characteristics of transportation technology.
24. The Automotive Service Excellence (ASE) program provides which of the following services to the automotive industry?
- consumer reports on service stations
- training programs for technicians
- certification programs for service stations
- consumer reports on technicians
- Enter to expand or collapse answer.Answer expanded
- Correct Response: B.
25. Which of the following transportation categories includes vehicles that use nuclear-powered propulsion systems?
- freight rail engines
- cargo aircraft
- crewed spacecraft
- military ships
- Enter to expand or collapse answer.Answer expanded
- Correct Response: D.
Objective 0015: Understand the processes and procedures used in transportation technology.
26. A company that operates a fleet of delivery vehicles is considering purchasing vehicle-tracking devices. One system under consideration communicates with vehicles in real-time and allows them to be tracked on a monitor that displays a map. A less expensive system resides entirely on the vehicle, where it collects information using a GPS unit. The unit's information is downloaded when the vehicle returns to the office at the end of the day. Which of the following situations is most likely to make the first, more expensive system the better choice?
- The company has small delivery vans rather than large trucks.
- The company has fewer than twenty vehicles in its fleet.
- The company wants to increase the efficiency of its dispatching.
- The company's employees are not technically literate.
- Enter to expand or collapse answer.Answer expanded
- Correct Response: C.
27. Which of the following characteristics do mag-lev trains and hovercraft transportation systems have in common?
- Both use high-pressure streams of air as their primary means of propulsion.
- Both rely on electricity, rather than fossil fuels, as their main source of power.
- Both can attain high speeds by limiting friction between the carrier and the substrate.
- Both can carry only a few passengers at a time due to weight considerations.
- Enter to expand or collapse answer.Answer expanded
- Correct Response: C.
Objective 0016: Understand the appropriate selection and use of resources in transportation technology industries.
28. Before inserting a handheld compression gauge into a cylinder of a truck engine, a mechanic disconnects the truck's ignition coil. Which of the following best describes the purpose of disconnecting the ignition coil before beginning the compression test?
- identifying the cylinder most in need of testing
- avoiding electrical shock
- providing a power source for the compression gauge
- preventing the engine from starting
- Enter to expand or collapse answer.Answer expanded
- Correct Response: D.
29. Which of the following statements best explains why the bodies of large commercial jet airplanes are made out of aluminum rather than steel alloys?
- Aluminum can be molded and pressed into a variety of shapes more easily and inexpensively than steel alloys.
- Aluminum is strong enough to withstand the forces encountered during take-off and landing but is much lighter than steel.
- Aluminum is non-reactive with oxygen or water and, unlike steel alloys, will not rust or corrode with exposure to the elements over time.
- Aluminum is much less expensive and more easily available than the steel alloys that would be used in the construction of aircraft.
- Enter to expand or collapse answer.Answer expanded
- Correct Response: B.
Manufacturing Technology
Objective 0017: Understand principles and characteristics of manufacturing technology.
30. A company's logo is most likely to be legally protected by laws and regulations related to:
- trade secrets.
- patents.
- copyrights.
- trademarks.
- Enter to expand or collapse answer.Answer expanded
- Correct Response: D.
31. One important advantage to a manufacturing company of switching to a just-in-time method of supply management is the reduced:
- likelihood of supply chain disruption leading to unavailability of parts and supplies.
- prices of parts and supplies due to increased competition among suppliers.
- costs of billing and invoicing paperwork to suppliers of parts and supplies.
- overhead associated with storing a large number of parts and supplies.
- Enter to expand or collapse answer.Answer expanded
- Correct Response: D.
Objective 0018: Understand the processes and procedures of manufacturing technology.
32. In metalworking, which of the following processes is most likely to create internal stresses in a metal and reduce the metal's toughness?
- hardening
- normalizing
- tempering
- annealing
- Enter to expand or collapse answer.Answer expanded
- Correct Response: A.
33. Which of the following statements best explains why welding produces stronger joints than brazing or soldering two metal pieces together?
- Welding uses a flux that adheres to the base metal of the two pieces and chemically bonds them together at the join.
- The high temperature used in welding melts the base metals on each piece, fusing them together as the join cools.
- Welding oxidizes the base metals, which produces metal oxides at the join that are stronger than the original base metals.
- The high temperature used in welding allows harder filler metals with a higher melting point to be used in the join.
- Enter to expand or collapse answer.Answer expanded
- Correct Response: B.
Objective 0019: Understand the appropriate selection and use of resources in manufacturing technology.
34. In masonry, a bull float is used to:
- smooth the surface of concrete.
- remove air pockets from concrete.
- spread concrete while pouring.
- add decorative edges to concrete.
- Enter to expand or collapse answer.Answer expanded
- Correct Response: A.
35. A computer numerical control (CNC) milling machine is used to accomplish similar tasks to which of the following tools used in carpentry?
- sander and polisher
- router and lathe
- table saw and miter saw
- drill and punch
- Enter to expand or collapse answer.Answer expanded
- Correct Response: B.
Construction Technology
Objective 0020: Understand principles and characteristics of construction technology.
36. The construction of bridges and dams is usually considered to be part of which of the following construction industries?
- light
- heavy
- industrial
- civil
- Enter to expand or collapse answer.Answer expanded
- Correct Response: D.
37. A homeowner is likely to need a building permit in Washington State in order to:
- demolish an old barn on the property.
- replace shelves and cabinets in a kitchen.
- add raised beds framed by landscape timbers to a garden.
- cover damaged wood floors with new carpeting.
- Enter to expand or collapse answer.Answer expanded
- Correct Response: A.
Objective 0021: Understand the processes and procedures of construction technology.
38. A project manager for a residential construction site must schedule a rough electrical inspection. Which of the following must be completed before the inspection?
- All fixtures, switches, outlets, and breakers must be installed.
- Sheathing and Sheetrock must be installed with evenly spaced inspection panels.
- All wiring, junction boxes, subpanels, and the main panel must be in place.
- An electric meter must be mounted and electrical service connected.
- Enter to expand or collapse answer.Answer expanded
- Correct Response: C.
39. A builder would like to construct a second-floor balcony that extends along the entire face of a house. The builder intends to use a cantilever design that uses the second-floor joists to support the balcony. The most likely reason for using a cantilever design in this application is to:
- reduce the forces acting on the bearing wall where the balcony meets the house.
- increase the ability of the balcony to flex back-and-forth when impacted by high winds.
- provide a clear space under the balcony by eliminating the need for supporting posts.
- incorporate the balcony as part of the structural support of the second floor.
- Enter to expand or collapse answer.Answer expanded
- Correct Response: C.
Objective 0022: Understand the appropriate selection and use of resources in construction technology.
40. Which of the following is an effect of the increased use of engineered wood in the construction industry?
- Forest farming of small-diameter trees can supply material for a wide array of spans and dimensions.
- Builders can use a single type of construction lumber for all interior and exterior applications.
- On-site labor costs increase due to the greater weight of engineered wood over traditional sawn lumber.
- Joist and stud spacing decreases due to the diminished stiffness of engineered wood over sawn lumber.
- Enter to expand or collapse answer.Answer expanded
- Correct Response: A.